Questions and discussion for this lecture live here. Fire away by hitting Reply below ![]()
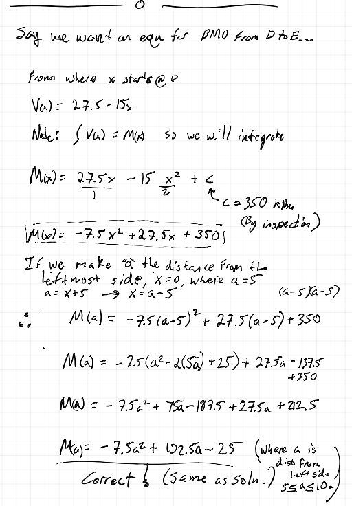
For the last part of the lecture where we define a function for bending moment, I thought I would try an integration approach where I start with x being from the point D. Turns out this approach works too. Honestly though, Dr. Sean Carrolβs approach might be a bit simpler since there is less algebraic manipulation. Anyways, it can be done!
1 Like
Nice work - experimenting like this is a great way to learn.
S
